简介
编辑弗洛凯理论是常微分方程理论的一个分支,涉及形式为周期性线性微分方程的解类
x ˙ = A ( t ) x , {dISPlaystyle {dot {x}}=A(t)x,}
其中 A ( t ) {diSPlaystyle displaystyle A(t)} 是周期为 T {displaystyle T} 的分段连续周期函数,并定义解的稳定性状态。
弗洛凯理论的主要定理,Floquet 定理,由 Gaston Floquet (1883) 提出,给出了该公共线性系统的每个基本矩阵解的规范形式。 它给出了坐标变化 y = Q − 1 ( t ) x {displaystyle displaystyle y=Q{-1}(t)x} 其中 Q ( t + 2 T ) = Q ( t ) {displaystyle displaystyle Q(t+2T)=Q(t)} 将周期系统转换为具有恒定实数系数的传统线性系统。
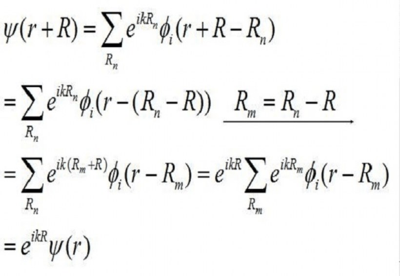
当应用于具有周期势能的物理系统时,例如凝聚态物理中的晶体,其结果被称为布洛赫定理。
请注意,线性微分方程的解形成一个向量空间。 如果所有列都是线性无关的解,则矩阵 ϕ ( t ) {displaystyle phi ,(t)} 称为基本矩阵解。 矩阵 Φ ( t ) {displaystyle Phi (t)} 称为主基本矩阵解,如果所有列都是线性独立的解并且存在 t 0 {displaystyle t_{0}} 使得 Φ ( t 0 ) {displaystyle Phi (t_{0})} 是恒等式。
弗洛凯定理
编辑令 x ˙ = A ( t ) x {displaystyle {dot {x}}=A(t)x} 为线性一阶微分方程,其中 x ( t ) {displaystyle x(t)} 是长度为 n {displaystyle n} 和 A ( t ) {displaystyle A(t)} 的列向量,一个 n × n {displaystyle ntimes n} 周期矩阵,周期为 T {displaystyle T}(即 A ( t + T ) = A ( t ) {displaystyle A(t+T)=A(t)} 对于 t {displaystyle t} 的所有实数值)。
后果与应用
编辑这个映射 ϕ ( t ) = Q ( t ) e t R {displaystyle phi ,(t)=Q(t)e{tR}} 引起坐标随时间的变化 ( y = Q − 1 ( t ) x {displaystyle y=Q{-1}(t)x} ),在此条件下,我们的原始系统变成了具有实常系数 y ˙ = R y {displaystyle {dot {y}}=Ry}。 由于 Q ( t ) {displaystyle Q(t)} 是连续且周期性的,因此它必须是有界的。 因此,y ( t ) {displaystyle y(t)} 和 x ( t ) {displaystyle x(t)} 的零解的稳定性由 R {displaystyle R} 的特征值决定。

表示 ϕ ( t ) = P ( t ) e t B {displaystyle phi ,(t)=P(t)e{tB}} 称为基本矩阵 ϕ ( t ) 的 Floquet 范式 {displaystyle phi ,(t)} 。
e T B {displaystyle e{TB}} 的特征值称为系统的特征乘数。 它们也是(线性)庞加莱映射 x ( t ) → x ( t + T ) {displaystyle x(t)to x(t+T)} 的特征值。 Floquet 指数(有时称为特征指数)是复数 μ {displaystyle mu } 使得 e μ T {displaystyle e{mu T}} 是系统的特征乘数。 请注意 Floquet 指数不是唯 一的,因为 e ( μ + 2 π i k T ) T = e μ T {displaystyle e{(mu +{frac {2pi ik}{T}}) T}=e{mu T}} ,其中 k {displaystyle k} 是一个整数。
内容由匿名用户提供,本内容不代表vibaike.com立场,内容投诉举报请联系vibaike.com客服。如若转载,请注明出处:https://vibaike.com/214447/