- 1 佩克莱特数
佩克莱特数
编辑在连续介质力学中,佩克莱特数是一类与连续介质中输运现象研究相关的无量纲数。 它被定义为由流动引起的物理量的平流速率与由适当梯度驱动的相同量的扩散速率的比率。 在物种或传质的背景下,佩克莱特数是雷诺数和施密特数 (Re × Sc) 的乘积。 在热流体的背景下,热佩克莱特数相当于雷诺数和普朗特数 (Re × Pr) 的乘积。
对于 P e L ≫ 1 与对流相比,扩散发生的时间要长得多,因此这两种现象中的后者在质量传输中占主导地位 .
对于传热,佩克莱特数定义为:
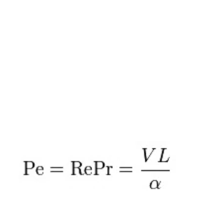
P e L = L u α = R e L P r 。
其中 L 是特征长度,u 是局部流速,D 是质量扩散系数,Re 是雷诺数,Sc 是施密特数,Pr 是普朗特数,α 是热扩散系数,
α = k ρ c p
其中 k 是导热系数,ρ 是密度,cp 是比热容。

在工程应用中,佩克莱特数通常非常大。 在这种情况下,流量对下游位置的依赖性会降低,并且流量中的变量往往会变成“单向”属性。 因此,在对佩克莱特数较高的某些情况进行建模时,可以采用更简单的计算模型。
流通常具有不同的热量和质量佩克莱特数。 这会导致双重扩散对流现象。
在粒子运动的背景下,佩克莱特数也被称为布伦纳数,符号为 Br,以纪念霍华德布伦纳。
佩克莱特数还发现了传输现象以外的应用,作为随机波动和介观系统中系统平均行为的相对重要性的一般度量。
内容由匿名用户提供,本内容不代表vibaike.com立场,内容投诉举报请联系vibaike.com客服。如若转载,请注明出处:https://vibaike.com/216508/